Community Survey Result 2025
この記事には日本語版があります。詳しくはこちらをご覧ください。
This article is very long and contain a few visualizations. Some interactive charts do not work well in small screen size.
For better reading experience, please read this article in wider screen.
- Foreword
- Respondent Profile
- The Game
- Character popularity
- Free form questions
- Bugs & Performance
- Afterword
Foreword
We have achieved 596 responses in this year’s survey, slightly less than last year’s survey.
Thank you to those who have helped me spread the word on various social media platforms!
This is the first time I have coded up an entire survey platform from scratch:
- No longer depends on Google Form, so China users can see the survey without using VPN
- More custom question types that are not available with Google Form (e.g. character ranking question, copying answers between questions)
- More data points to detect possible duplicate/spam responses
Special thanks to 無理 for helping to check Japanese translation in the survey.
Disclaimer on Limitation of the Survey
The demographics percentage of this year’s respondents is very different from past few years, in that the percentage of East Asians became more than half of the total respondents, and the absolute number of non East-Asian respondents also have decreased. This means that many “2024 vs 2025” comparsions do not really tell if there is a sentiment change for the same group of people, because the underlying group of respondents are quite different. Take the comparison with a pinch of salt.
This is the first time I tried to publish the survey in Wikiwiki/Zawazawa (Japan anonymous forum). Although that did attract a few more Japanese respondents, I also received a lot of negative comments and downvotes. I have ran this survey for 5 years, and this is the first time I received such hostility. It is hard to tell if Japanese people has higher perecentage of people disliking popularity poll than other groups, or it is just people acting nastily when they can hide behind the mask of anonymity without fear of consequences.
I understand that some people do not want to see the popularity poll result as there might be jerks who would cherry pick any data and twist it to fit their narrative. So let me get this straight:
- “Some characters being more popular than others” is a fact that everyone can observe through many other ways, such as “engagement count on LifeWonders’ official posts/videos”, “the number of fan arts” and so on. Even without this popularity poll, people who would cherry pick any data and twist it to fit their narrative always exist, and there are plenty data for them to do that. The survey result should not increase the number of such people.
- I have ran this survey for many years. While I can’t say that everyone acted civilly after the publication of the survey result, but I have not witnessed such discourse escalated too much, because most groups and servers already have rules to control insults and hate speech.
- For those people who try to use the survey result to bully others, I am sure these people do other Karen stuffs in other time too. So the general online advise applies: if the person is being too annoying, just block them and move on with your life.
Respondent Profile
Source of respondents
Majority of the respondents found the survey via Discord (23.49%). 巴哈姆特 (Taiwan gamer forum), Twitter/X and English Wiki each take approximately 15%.
Age

Since this is a mobile gacha game, it is no surprise that the age distribution is skewed towards the younger side.
At this point, the oldest respondent (55 year old) can be the youngest respondent’s grandfather… (15 years old)

Gender
11.24% of the respondents are non-male (up from 7.5% last year) and 3.52% are transgender (lower than last year)
Female/Non-Binary/Other Respondents and Where to Find them

- A lot of the female respondents for this survey come from Japan.
Country
Top 3 countries are Taiwan, China and Japan
Transparency report:
- One person from “Christmas Island” uses USA ip address
- One person from “Sierra Leone” uses Malaysia ip address
- Many people from “China” use ip address from various other countries, but that is kind of expected since China has the Great Firewall so many China people use VPN. Some might have already migrated to other countries permanently
It is clear that East Asia is the most important market for the game (being culturally close to Japan), followed by Southeast Asia and North America.
Region | Country of birth / 出身国 | Count | Percentage |
---|---|---|---|
East Asia 314 (52.68%) | Taiwan | 118 | 19.80% |
China | 90 | 15.10% | |
Japan | 85 | 14.26% | |
Hong Kong | 16 | 2.68% | |
Korea, South | 3 | 0.50% | |
Macau | 2 | 0.34% | |
Southeastern Asia 110 (18.46%) | Indonesia | 28 | 4.70% |
Vietnam | 26 | 4.36% | |
Thailand | 20 | 3.36% | |
Malaysia | 18 | 3.02% | |
Philippines | 13 | 2.18% | |
Singapore | 4 | 0.67% | |
Brunei | 1 | 0.17% | |
North America 88 (14.77%) | United States | 71 | 11.91% |
Mexico | 8 | 1.34% | |
Canada | 4 | 0.67% | |
Puerto Rico | 2 | 0.34% | |
El Salvador | 2 | 0.34% | |
Costa Rica | 1 | 0.17% | |
Europe 44 (7.38%) | Russia | 6 | 1.01% |
Italy | 5 | 0.84% | |
Germany | 5 | 0.84% | |
Spain | 4 | 0.67% | |
France | 4 | 0.67% | |
United Kingdom | 3 | 0.50% | |
Finland | 3 | 0.50% | |
Romania | 2 | 0.34% | |
Czech Republic | 2 | 0.34% | |
Belgium | 2 | 0.34% | |
Portugal | 1 | 0.17% | |
Poland | 1 | 0.17% | |
Norway | 1 | 0.17% | |
Netherlands | 1 | 0.17% | |
Denmark | 1 | 0.17% | |
Cyprus | 1 | 0.17% | |
Belarus | 1 | 0.17% | |
Andorra | 1 | 0.17% | |
South America 29 (4.87%) | Brazil | 13 | 2.18% |
Chile | 6 | 1.01% | |
Venezuela | 5 | 0.84% | |
Ecuador | 2 | 0.34% | |
Uruguay | 1 | 0.17% | |
Paraguay | 1 | 0.17% | |
Argentina | 1 | 0.17% | |
Oceania 7 (1.17%) | Australia | 5 | 0.84% |
French Polynesia | 1 | 0.17% | |
Christmas Island | 1 | 0.17% | |
Western Asia 2 (0.34%) | Turkey | 1 | 0.17% |
Iran | 1 | 0.17% | |
Africa 2 (0.34%) | Sierra Leone | 1 | 0.17% |
Morocco | 1 | 0.17% |
Despite the largest expected player base of this game being Japan, this survey still was not able to capture the same proportion of Japanese players.
Japanese proficiency
- 56.04% of the respondents cannot read Japanese at all.
- 106 respondents has N1-level reading ability (17.79%). If excluding Japanese people, only 21 respondents have N1-level reading ability (3.52%)
- I estimate that you need at least N3 to be able to read the in-game Japanese story comfortably, which only 22.48% of the respondents fit in this category.
The Game
Actual Player
- 86.58% of the respondents are still playing the game
- Usually people who do not play the game or has abandoned the game are naturally less likely to spend time filling up this survey, so the pie chart just tell you how much votes you might want to exclude when reading other data of this survey if you only care about the voices of those who currently still play the game
Stop Reason
Among the respondents who has played the game but now has stopped playing, these are the reasons:
- No translation
- Lost interest/motivation
- Battle system is too complicated / unfamiliar with game mechanics
- Quit becasue respondent cannot pull the character they want
- Too little (free) pull currency
- Boring/monotonous grinding, no skip ticket, not enough reward
- Nothing to do after upgrading favourite character(s)
- Running out of phone storage
- Respondent also play other gacha games, no time to keep Live A Hero
- No NSFW element
Platform
Majority of the respondents use Android to play the game. Quite a few people use multiple platforms to play the game.
I know ther are some players that use mobile phones for day-to-day playing, then ocassionally switch to iPad to view their husbands in bigger screen.
Playing Time

X-axis is the number of days played (end date is set to 30 Sep 2024). Slightly less than half of the respondents started playing Live A Hero immediately after the game’s launch. Since then, the player base seems to be growing at a linear scale.
There are small bumps near every 360 days, likely due to the anniversary bringing more players than other times of the year.
The bump at “last 720 days” is quite steep, which is roughly the time when 3rd anniversary happened. I suspect that there might be a lot of overseas players trying out the game when LifeWonders announced that they were working on official translation.
Main Character Configuration
- Refresher:
- Type 1:
- Type 2:
- Type 3:
- Type 4:
- Type 1:
Hiroki Goto (first male voice) took nearly 50% of the male voice’s market, the other two are about 25% each. For female voice, Yui Toita is slightly more popular than Orie Kimoto.
Which MC body type did you choose? 您选择的主角体型? あなたが選んだ主人公の体型は? | ||||||
---|---|---|---|---|---|---|
What gender do you identify as? 您的性别? あなたの性別は? | Are you Cisgender or Transgender? 您是順性別还是跨性別? あなたはシスジェンダーですか、それともトランスジェンダーですか? | 1 | 2 | 3 | 4 | Grand Total |
Male / 男性 | Cisgender / 順性別 / シスジェンダー | 205 | 20 | 211 | 12 | 448 |
Transgender / 跨性別 / トランスジェンダー | 1 | 2 | 4 | 7 | ||
Female / 女性 | Cisgender / 順性別 / シスジェンダー | 2 | 18 | 1 | 5 | 26 |
Transgender / 跨性別 / トランスジェンダー | 1 | 1 | ||||
Non-binary / 非二元性別 / ノンバイナリー | Cisgender / 順性別 / シスジェンダー | 1 | 1 | 5 | 7 | |
Transgender / 跨性別 / トランスジェンダー | 2 | 2 | 2 | 6 | ||
Other / 其他 / その他 | Cisgender / 順性別 / シスジェンダー | 2 | 6 | 8 | 1 | 17 |
Transgender / 跨性別 / トランスジェンダー | 2 | 2 | 4 | |||
Grand Total | 213 | 49 | 234 | 20 | 516 |
Interesting points:
- Female respondents (cis and trans) mostly only choose human body types.
- There are cis-male respondents who choose female body types (straight players?!).
- If LifeWonders is estimating the number of female players purely by how many players chose female body types in-game, they will overestimate since the number includes these straight male players
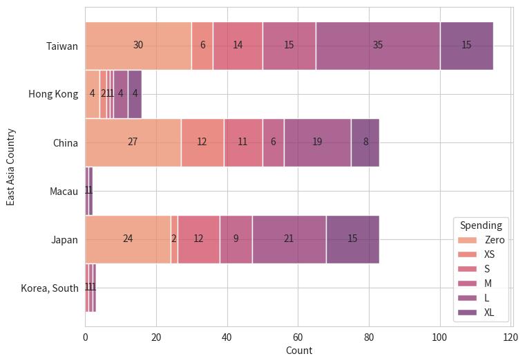
Money spending
- It seems that more respondents bought “New Year Grab Bag” than “Anniversary Hero Selection Pack”. One possible explanation is the respondents value the chance of getting random limited 5 star to be higher than the chance of getting a specific permanent 5 star.
- Anniversary stone pack has the biggest decrease in popularity
To help make other visualizations easier to understand, we will introduce the concept of Spending Level here.
Definition of Spending level
Grade | Description |
---|---|
XL | Those who had bought regular paid Ether gem (more expensive) |
L | Those who had bought the event-limited Ether Gem pack (large) |
M | Those who had bought the event-limited Ether Gem pack (small) |
S | Only bought the Anniversary pack and/or New Year Grab Bag (i.e. spent only once or twice a year) |
XS | Only bought the ten paid stones for fourth Sales slot |
Zero | Never spent money in this game |
The criteria for each spending level isn’t completely accurate as we don’t count how often people buy each product, but it is enough to get a sense of the general trend.
More than 50% of the players actually spend at least some amount of money in Live A Hero. Completely free-to-play players are less than what I originally thought.


- East Asia has the highest percentage of Live A Hero players that spend money in-game
- Other developed economies like United States and Europe also have high percentage of paying players.
- If the game has official translation, it will surely bring a lot more paying players from these markets

Although the percentage of female respondents is much lower than male respondents, they spend nearly as much as male respondents
Gameplay Style
- About 75% of the players login at least once a day.
- About 55% of the players will make sure all AP are used.
-
Those who play the game in the most earnest way (last tier) are more likely to be paying customer too.
- Among non-male players, slightly more only play the game occasionally compared to the male counterpart
- Female players are less likely to optimize their game play to the maximum compared to other groups.
High Difficulty Quest


- Globally, half of the respondents report that they can complete >= 80% of the Hard Difficulty Content (median)
- When we examine the data by gender, we find that male respondents’ peak is around 90%~100% range, all other respondents peak at 70%~80% range.
Game Elements’ Rating

- Unsurprisingly, most respondents give the highest rating for character design
- Difficulty rating has the lowest average score of 3.55 (median=4)).
Other games

- Gyee
- Among all the games, it has the highest combined count of “heard of but never play” and “has abandoned the game”
- More than a third of Japan respondents have never heard of this game
- Fantastic Boyfriends (F彼)
- The only buy-out game developed by LifeWonders, you can treat “abandoned” as the same as “still playing”
- It is not surprising that many overseas respondents said “they heard of it but never played it”, since the majority of the respondents do not understand Japanese and the game has no hope of ever getting official translation.
- Even among Japan respondents, there are more than a third of them that has “heard of the game but never play”
- In all honesty, the game has a very solid story writing, and it benefited from having limited number of characters, so each characters has more time to shine. If you can understand Japanese, definitely give it a try.
- Tokyo Afterschool Summoners
- Close to 70% LAH players are still playing Tokyo Afterschool Summoners, which is also another older game developed by LifeWonders, while 23.9% have abandoned it.
- Tamacolle
- It is a gay gacha game that is mostly focused chubby and shota characters
- It has the highest number of respondents outside Japan who have “never heard of” the game
- Even in Japan, the number of players seem fairly low
- AnotherEidos of Dragon Vein
- Practically all Japanese respondents know about this game. To this group of respondents, you either “heard of it but never try”, or “currently stuck in the game”. Very few Japanese respondents have “tried the game then abandoned it”.
- It is probably not incorrect to say that this game is the biggest competitor to LifeWonders’ revenue
- Out of east asia, the number of respondents that still play this game seems to have dropped from 2024 slightly
- Practically all Japanese respondents know about this game. To this group of respondents, you either “heard of it but never try”, or “currently stuck in the game”. Very few Japanese respondents have “tried the game then abandoned it”.
- Crave Saga
- This game has the second lowest current Japanese players (just above Tamacolle) among all the Japanese gacha games that target gay players. Its abandonment rate is also fairly high.
- Despite the game having English and Chinese translation via global server (which has a one year content lag), the number of non-Japan players is not very high.
- XXL Woofia
- The latest gacha game that wants a piece of the pie in the gay player market. It first debuted with English, Chinese and Korean languages in June 2025.
- Outside of Japan, this game has a very high number of respondents still playing the game, only second to Tokyo Afterschool Summoners
- In Japan, however, the number of respondents that have tried the game is very low, as the game had only released Japanese language in early September 2025.
- For a short few months before Japanese language was released, gay players in Japan that craved for this uncensored R18 game faced the problem that non-Japanese people have been facing for years: language hurdle
- The game is still very young, we will check again next year to see how well it can retain these players
Free Gacha Pull Currency
61.82% of the LAH players think the game gives less free gacha pulls than other gacha games (A), while only 7.36% of them think LAH is more generous than other gacha games (B).

When we examine the spending level of the group A and group B, we see no colleration between the spending level of the respondents and their opinion on the sufficiency of free gacha pull currency.
“Whether Live A Hero is gives more or less free pull currency than other gacha game” alone might not be best question to ask.
Sometime other gacha games like Crave Saga may give out more free pull currency, but at the same time there are 4 gacha banners per month. If you want every characters, you are still screwed.
There is also a case where the gacha game (XXL Woofia) is super genorous with free pull currency, but at the same time you need to get many duplicates to make the character’s skills useful.
So, we need to consider the entire gacha mechanism as a whole to assess whether it is healthy for the playerbase…
Translation

Once again, we celebrate another game anniversary without official translation, which means 35.7% of the respondents made the correct prediction.
This number is much higher than last anniversary (27.2%), you can see that overseas players had lost faith in LifeWonders when they failed to fulfill their promise in last anniversary.
Read Story
Close to half of the respondents need to rely on fan translation.
Note: Chinese community are luckier than English community due to having more fan translators helping to translate different parts of the game.
I said from last year that I need to add the option of “Yes, I read the story in-game with the help of machine translation and some guesswork”, but I forgot…
Event Rating


- It seems that respondents that have Japanese reading skill higher or equivalent to N3 are more likely to rate events higher than those with lower Japanese reading skill
- The only outlier to this pattern is The Glorious Rising Moon. I suspect it is because global players are just happy to see
“Star Insignia” Pubraseer finally getting his limited variant.
Character popularity
Global


Top spots for “All favourites” popularity ranking for each category
Male furry | Approval Rating | Male Human | Approval Rating | Female/Other | Approval Rating |
---|---|---|---|---|---|
![]() | 65.4% | ![]() | 41.4% | ![]() | 19.5% |
![]() | 53.5% | ![]() | 37.8% | ![]() | 13.3% |
![]() | 49.5% | ![]() | 31.5% | ![]() | 11.6% |
![]() | 48.5% | ![]() | 31.4% | ![]() | 10.7% |
![]() | 47.5% | ![]() | 29.9% | ![]() ![]() | 10.6% |
Player is not included in this table because they fit in all categories
Comments:
- Muscular male furry characters once again dominated the popularity ranking, with
Pubraseer being the top.
- Only
Pubraseer and
Monomasa are liked by more than half of the respondents (approval rating > 50%)
- Approval rating: the percentage of respondents that include the character in their “All favourites”
- The gap between first place and second place is quite significant.
- Top 1 for “Male furry’ and “Male human” are exactly the same as 2024.
Sensettia lost her top 1 spot this year to
Melide.
- This likely has a lot to do with the amount of time
Melide gets to appear in recent story.
- This likely has a lot to do with the amount of time
Denebora is the most anticipated unreleased character so far (31.7% approval rating)

2024 vs 2025


- It seems that for characters that have gotten their variant forms or base form released between the time when 2024 and 2025 surveys were carried out, their ranking are boosted quite significantly (such as
Astar,
Barte,
Yohack) and
Gaisei
Obsidius,
Sterio and
Barrel lost the most approval rating between 2024 and 2025 survey
- Reminder: this year’s survey was ended before
“Unfaltering Devotion” Barrel was announced
- Reminder: this year’s survey was ended before
Japan / Taiwan / China



Female / Non-binary / Other respondents


- The number of non-male respondents is small to begin with, so there are a lot of ties in votes.
- Among non-male respondents,
Tsuneaki replaced
Pubraseer’s to take the top spot, but
Pubraseer is still ranked fairly high in the “Top 10” ranking.
- LifeWonders promoted
Gaisei and
Vlaham in past AGF events to attract more female players, and indeed the female respondents give these characters higher approval rating (35.5% and 32.3% respectively) than the overall respondents (only 7.7% and 18.0% respectively)
People with less than 10 favourites

In this gacha game that is full of baits for thirsty players, let us applaud these people who can limit the amount of characters they devote their hearts for.

Ranked Voting System
Apart from asking survey respondents to choose all their favourite characters and top 10 favourite characters, I also asked them to rank the top 10 into a linear order.
With this data, we can try to do a ranked voting using Tideman Method.
Tideman Method (Wikipedia definition)
Ranked Pairs (RP), also known as the Tideman method, is a tournament-style system of ranked voting first proposed by Nicolaus Tideman in 1987.
If there is a candidate who is preferred over the other candidates, when compared in turn with each of the others, the ranked-pairs procedure guarantees that candidate will win. Therefore, the ranked-pairs procedure complies with the Condorcet winner criterion—that is, it is a Condorcet method.
Ranked pairs begins with a round-robin tournament, where the one-on-one margins of victory for each possible pair of candidates are compared to find a majority-preferred candidate; if such a candidate exists, they are immediately elected. Otherwise, if there is a Condorcet cycle (a rock-paper-scissors-like sequence A > B > C > A) of three or more candidates then the cycle is broken by dropping the “weakest” election in the cycle, i.e. the one that is closest to being tied.
Source: Ranked Pairs (Wikipedia)
Key adaptation to Tideman Method made for this survey
- Let Set X (X1, X2, X3, …) be the set of characters that are in a respondent’s top 10 ranking, and another Set Y (Y1, Y2, …) that contains characters not in the respondent’s top 10 ranking
- For each pair of (Xi, Yj), we assume the respondent would rank Xi > Yj
- This is necessary because I only asked the respondents to rank the top 10 characters instead of all the characters. Asking respondents to rank all characters into a linear order would be too exhausting and boring for most people.
Here are the links for the full table, feel free to import them to a spreadsheet to explore the data:
- Global Respondents’ Pairwise Rank Matrix
- Japan Respondents’ Pairwise Rank Matrix
- Taiwan Respondents’ Pairwise Rank Matrix
- China Respondents’ Pairwise Rank Matrix
- Female Respondents’ Pairwise Rank Matrix
Reminder:
An edge from
Pubraseer to
Giansar means
Pubraseer >
Giansar for 65.47% of the time, and
Giansar >
Pubraseer for 34.53% of the time.
We only show the top 10 characters with the most links in the network graph, otherwise the graph would be too massive to visualize.
Tideman Method explicitly removes links with weaker margin of victory, so although the raw data may have Condorcet cycles, we don’t draw those links in the network graphs above.
Pubraseer wins over all other characters more than 50% of the time, making him the only Condorcet Winner in global ranking
- i.e.
Pubraseer will always be elected as winner regardless of what Condorcet method you use
- i.e.
Obsidius ranks higher than
Akashi in the Top 10 favourites (without using ranking data), but their positions are swapped when accounting for respondents’ preferential ranking
- We can find the widest path of the graph to form the ranking:
Obsidius vs
Sadayoshi is a tie: they both win over each other 50% of the time
- There is no Condorcet cycle among the top 10 characters for global data
- Condorcet cycle usually becomes rarer as the sample size increases
Depending on your definition of fairness, Tideman Method may not be completely fair. In fact, no voting system with more than two candidates can satisfy all the voting criteria that humans want, as some of the voting criteria actually contradict each other, so please take the result with a grain of salt. However, Tideman Method is considered one of the better ranked voting systems, and is much harder to be manipulated by tactical voting strategy.
You may use the raw data above to implement other types of voting systems and see how some systems may be fairer while others lead to undesirable outcome for most people.
Ranking for Specific Demographics
- In Japan,
Akashi wins over all other characters more than 50% of the time, making him the only Condorcet Winner for the Japanese respondents
- i.e.
Akashi will always be elected as winner regardless of what Condorcet method you use
- i.e.
- Ranked voting results by country have a lot of Condorcet cycles due to lower number of ballots
- There is no single Condorcet Winner for female respondents’ ballots
- i.e. Different Condorcet methods may elect different winner within the cycle
- If we use Tideman Method, then
Sadayoshi will be elected (as shown in the network graph)
- We only have 31 female respondents, please take this result with a bigger grain of salt.
Humanoid vs Anthro Bias
I have been running this survey for 5 years, and anthropomorphic characters (anthro characters) almost always came on top in every year’s popularity ranking. This has led many people to think that “furry lovers have conquered the survey”. So let’s try to answer this question: is the survey overwhelmingly dominated by respondents that only like anthro characters?
First of all, I tried to categorize Live A Hero characters by “Gender” (Male, Female and Other) and “Type” (Humanoid, Anthro and Other). The table can be found here.
We can see that among the male characters in this game, the ratio of “humanoid” vs “anthro” is almost 50/50. So if the character popularity from Live A Hero is not biased towards anthro character or humanoid character, then we should see the distribution to look like a Normal Distribution centered around 50%.

Formula:
- Anthro-loving ratio of a respondent = “total number of anthro characters they like” / “total number of characters they like” (converted to percentage)
- Higher percentage means the respondent prefers more anthro character than humanoid characters.
-
100% means the respondent only like anthro characters
- So globally, 50% of the respondents have an anthro-loving ratio of at least 62.5% when countring all their favourite characters.
- The ratio is even higher when respondents can only choose top 10 favourite characters.
Reminder:
This does not 100% prove that the respondents are biased towards anthro characters in all context. Another possible explanation is, LifeWonders is slightly better at creating attractive anthro characters than attractive humanoid characters.

- Japan respondents’ anthro-loving ratio is slightly lower than global respondents, but it follows the global trend that the anthro-loving ratio increases when we only count top 10 favourite characters.
- There are two peaks at the 0%~5% and 95%~100% range (i.e. people who almost only like humanoid characters vs people who almost only like anthro characters). Some of the Japan respondents can be quite extreme.

- It is very interesting that female respondents’ anthro-loving ratio distribution resembles a Normal Distribution for the “all favourites” statistics.
- However, when the female respondents are forced to pick only their top 10 favourities, then the distribution shifts towards anthro characters like other gender groups.
Free form questions
For this year’s survey, I ended up manually going through all the comments instead of using AI summarization, as I find the latter hallucinated too much for some reason. The formatting may be a bit messy, and I can’t guarantee that I did not miss any comment.
Words coloured in blue are my own.
What People Like
- Most comments are all about good character designs.
- Has hot men characters, furry characters, chubby characters, robotic/non-human characters
- Good voice acting
- Fan service voice lines when touching characters and max leveling units
- Cool character models and animations in game battle that are high in quality
- Hero theme
- Torn suit system
- Design that does not sacrifice good visual language for pure eroticism
- Gameplay
- Easy / casual game play that is not time consuming
- Vertical game display
- Has some form of auto play mechanism
- Despite running for 5 years, game unit’s skill inflation isn’t super high
- Story
- Interesting story writing with good world building. It is easy to see how much care LifeWonders take in ensuring the quality of story
- Many praised how the story enhanced the appeal of the characters through back story and interaction with other characters
- Different characters may have different personality, but at the end of the day, most are kind to the main character
- Compared to R18 games where eroticism is always allowed, one respondent like that you can see the characters’ modesty and the conflict of whether it’s okay to expose themselves in such a shameless state in front of the person they trust (the main character) who has observed them
- A respondent mentioned “there is no NTR in this game”. I have a feeling that the respondent is angry with AnotherEidos
- Story that is centered more around working adults (compared to Housamo which are mostly “high schoolers”)
- Story that actually has high stake, like “you will disappear after being eaten by Kaibutsu”
- Main character isn’t useless in the story
- Player having some form of “choices” to get some variations in the story, even though the overall story ending is already decided
- Interaction between characters
- One respondent prefers Live A Hero that has story less suggestive than Housamo
- In the “Improvement” section, you will see other people complained that the story is not suggestive enough
- Good BGM
- Has mechanism to guarantee getting a rate-up character
- Game franchise that has lots of fan arts
Some comments more specific to content for past 12 months
- The quality of visual performance within battle, voiced dialogues, cutscenes and BGMs have significantly improved, beyond other games of similar genre. This increases the story immersion.
- It is now easier to get to secret boss of Unexplored Quest
- Really? I still can’t reach there yet…
- New features that receive praises from the respondents
- Glossary (Exio’s notes) to review past concepts/events
- Trial quest to try out new characters’ game skills
- Name card is a good addition
- Unsurprisingly, a lot of people employ a great amount of creativity and ingenuity to make their name card looks erotic
- Weekly mission, though some still feel it is very stingy
Improvement People Want to See
Translation
Since most survey respondents are not from Japan, the lack of translation is obviously one of the most mentioned feedback:
- One respondent literally said: Japan views punctuality very seriously, but “please wait a while” literally is more than one year? Almost like lying to the players
- A Japanese respondent also feels concerned that there is no official translation for foreign players to this day
- Some players have difficulty in clearing game content because not being able to understand skill description and in-game battle guide
- Some overseas players can get by with the game wiki, but the back and forth checking is very tiring
- Some does not even know when a new feature is implemented due to not understanding game announcement
- People can feel that the story and performance quality has improved, but lack of translation means they cannot understand any of it
- The fact that all other gacha games competing in the same space already have official translations but this game still doesn’t, make players feel very betrayed.
- One respondent dares LifeWonders to remove the game for non-Japan region and witness how much that tanks the game’s revenue
Story
- Some people prefer to able to skip the voice acting in story mode, and complained that the voiced dialogue prevents them from reading story at their own pace
- There are also players who project themselves as the main character, and saying that the voiced dialogue for main character breaks that immersion for them
- A game setting to turn on/off main character voice might be a good solution
- Waited too long to get new Main Quest
- One respondent thinks that the frequency of Main Quest and Event Quest should be more balanced
- Longer Event Quest story to flesh out a character’s charm. Event Special Quest is too short
- Some respondents complained that Live A Hero’s story is a lot less suggestive as compared to Tokyo Afterschool Summoner
- Implementation of Date Quest
- “To top it off, the script and direction for the main story—which hadn’t been updated for nearly two years—received quite negative reviews, sparking mixed reactions. Honestly, I’m worried about the future of the game’s operation.”
- This comment was written by a Japanese respondent. I was quite surprised by it, as I thought Japanese players on Twitter/X are mostly positive with the latest Main Quest (but then again, I can’t understand Japanese)
Event
- Too many filler campaigns (like farming campaigns) where players have nothing much to do. For overseas players, “Link Quest campaigns” also counts as filler, because they cannot understand the only content of the campaign, which is just story in Japanese.
- Every event has a very predictable formula: farm event currency, then trade items in the event shop. Some feel this is too repetitive
- People want more ways to play the game during an event other than repetitive farming
- Request for implementation of story CG
- Increase the content production frequency
- Some people request that the event farming quest should last till the final day of the event.
- Some respondents request LifeWonders to make guide on how to actually beat hard-difficulty quest, beyond the basic in-game battle mechanics description
- Some players complained the game is too hard, while other players wish to have more challenging quests to play (end-game content)
- One player complained that many statuses have similar effect, just with different multiplier and/or turn count, and wants LW to standardize them
- I don’t think LW will change this, this is the method most gacha games employ to “adjust game difficulty” and “add variety”
- Farming efficiency
- Reduce time needed to farm event
- Farming quest that uses more stamina and gives more reward
- Skip ticket and double stamina usage
- Skip skill 3’s animation, increase animation speed
- Better auto battle system
- Auto continue for infinite farming
- Able to consume stamina drink till you reach 999
Game Feature
- Very difficult to figure out which heroes / sidekicks work well together
- Name card
- Want more customization to the name card
- Name card title feels useless
- More mini game to interact with character
- More features in Office
- Accessories for Office
- More rewards from Office
- One respondent mentioned LW can copy “My Alice” from “Crash Fever”
- More customization for home screen
- The latest hard-difficulty quest of Main Quest 2-3 introduced the “two-teams” mechanic, but player is only allowed to borrow a friend support for one of the team, which hurts players who don’t have a lot of strong units yet
- Forming one strong team is hard enough, now I need to have two strong teams at the same time??
- Want to be able to directly buy the required amount of multiple items for one upgrade in one go, rather than having to go back and forth multiple times to check how much they need to buy
- Sort/filter function for sidekick skills and passives
- One click to exchange all duplicates to
Record Cube
- App notification when stamina is full
- 100-pulls friend point gacha with a single click
- Make “reuse previous team combination” a default-ON option in settings instead of asking about it every login. If the player does not want it (which should be a minority), they can turn it off in settings.
- Make “use stamina to play this quest again” a default-ON option in settings instead of asking about it every login. If the player does not want it (which should be a minority), they can turn it off in settings.
- Crave Saga and XXL Woofia already implement the last two features as default-ON option
- Scenario replays will display the same scenario and battles as when first viewed.
- Sandbox quest to test characters
- I think we already have Challenge Simulator every fortnight for that?
- Implement trial quest to try out older characters
- Add favourite tags for most used friend supports
- More team slots to organize teams for different gameplay purposes
- As this game has added more and more bosses that require different setups, 10 team slots is no longer enough
- Crave Saga literally has 7 x 10 = 70 team slots for players to store different team setups, Live A Hero needs to keep up
- NSFW mode
Gacha & Monetization
- Some respondents request for the implementation of monthly pass instead of limited event gem pack
- Many people want to be able to support the game at lower price point monthly
- This is especially true for some developing countries as their average salary is much lower than Japan
- Monthly pass is a very common feature in other gacha games, LifeWonders really need to consider this
- Paid skins are also mentioned a few times
- New players complained that it is very slow and boring at the early stage of playing, since accumulating gacha currency and upgrading resources are very challenging.
- One player said it takes months to upgrade one character
- One respondent observed that their friends often quit the game before that, leading to poor retention rate
- I am guessing that most of the complaints might be referring more to the end-game upgrades like
Parallel Quartz, Blooming and Skill Tree, which indeed would take a freaking long time to accumulate enough materials to upgrade.
- The game has a lot of possible gameplay combinations such as “counter attack team”, “DoT team”, “Viewpower-centric team”, “SPD manipulation team” etc. Each combination require different types of characters. Different types of bosses might make certain gameplay team unusable, so you will need at least 2~3 teams, but the game provides very little gacha currency to get characters, so it is difficult to achieve that gameplay combination unless you spend money
- People requests that rerun banners should have higher guaranteed rates for limited units
- People welcomed the improved mechanics to new characters, but lament that most are for 5 star characters only
- There are a few complaints about old characters’ skills being useless in the current environment. People want more frequent release of skill tree
- Some people complained that old characters are still useless after skill tree enhancement
- One respondent said “Anniversary got worse” (no specific details given), another respondent is displeased that the anniversary ticket has been stuck at 3 tickets for years.
Characters
- One respondent complained that 5 star characters for the last 12 months were almost all just male hunk bodytype, only one (furry) is chubby. No chubby human limited variant in the last 12 months.
- Limited variants for female character
- Equal chance of getting limited variant for all characters
- Some players are not satisfied about the company’s decision to increase the proportion of characters that are not popular to gay men for the sake of diversity
- Female players think we need more female characters
- Some respondents are against the implementation of shota characters
- I can’t comment much, we all know how east asian vs other countries have very different views on fictional shota characters…
- More furries characters
- More female furries characters
- More grandpa characters
- More slim-body characters
- More slim-body non-human characters
So you see, when your playerbase becomes diverse enough, you will have contracdicting opinions from the playerbase. Given how slow it is for Live A Hero to release a new unit (variant or new character), there is no way for LifeWonders to satisfy everyone.
Fortunately, the percentage of respondents that actually complain about the proportion of character type remains pretty low. The community in general is more tolerant than you might think.
- Implementation of event-themed main character skins
- Increase the suggestive-level for damaged clothes skin
- Some characters’ damaged skin might be more conservative, but I think
Antares is almost completely naked now
- Some characters’ damaged skin might be more conservative, but I think
- One person complains that they cannot get their character naked
- Please, this is a SFW game
- Some players wish to have same characters getting more chance to appear (even if it means more limited variants) instead of blindlessly increase the number of new characters
- New art when upgrading 5 star characters
- I supposed the person wants 5 star characters to have at least 3 unique arts?
- Improve spine models for older characters
- The quality of spine models for some new characters are worse than others.
- Some people complain that the recent accessory for some characters’ spine models are getting too simple and boring
- There are people request for changing skin on spine models
- Bigger bulge on spine model
- If XXL Woofia can get away with having gigantic bulge in the “SFW” Google Play/Apple Store version, I think LifeWonders can be a bit more bold too…
- HD character arts
- Characters’ legs are too short
Bugs & Performance
- Loading time being too slow is the most common complaint in this category, especially at the login screen.
- Some people also experienced random game crashes at login screen
- Friend list management page is very slow
New Illustrator Wishlist
People sure was not holding back when it comes to illustrator wishlist, we received tons of names for this question.
I did my absolute best to try finding the illustrators, but some names are just impossible to search, while some contain typos.
For those of you who entered your favourite illustrators’ names incorrectly, I am revoking your supporter memebership with immediate effect. You need to handwrite their name correctly 1000 times to gain back your membership.
Some of the suggestions are literally moonshot, so please do take a look at the list. To quote a joke from a friend: “some people dream so big, you can open a (Hero) Path”.
Warning: most of the social links are NSFW
Illustrator wishlist (in no particular order)
- Zoyu (卓羽)
- https://x.com/ZoYu26152516
- https://x.com/wuedti
- Terujirou
- https://x.com/terujirou1014
- Sollyz
- https://x.com/sollyzsundyz
- Gryffindor (Rainer)
- https://x.com/Gryffindor131
- Abashiri
- https://x.com/abasirisippo
- Estper
- https://x.com/tiger_est
- Most people wrote this as “Espter” which caused me a long time to find…
- Istani
- https://x.com/kemoistani
- Monogg
- https://x.com/MonogG
- Jacketbear (山藥人)
- https://x.com/jacketbear
- Gamubear
- https://x.com/BearWivMe
- Bonti*age
- https://x.com/bont1age
- Takikaze
- https://x.com/takikaze217
- Nviek
- https://x.com/nviek5
- Mato
- https://x.com/matomonstera
- Gammachaos
- https://x.com/gammachaos
- Funny comment from a respondent: “every gay gacha game needs a Horkeu Kamui clone”
- TakaTaka
- https://x.com/TakaTakaPig
- Juggermelon
- https://x.com/Juggermelon
- KokuKokuBoo
- https://x.com/kokukokuboo
- Jiraiya
- https://x.com/jiraiyajpn
- Kuromine Hiraya (湯あたり)
- https://x.com/kuromine_hiraya
- RPBBW (紅紫藍黑白)
- https://x.com/noku13456
- Null Ghost
- https://x.com/nullghost_art
- GlenSaru
- https://x.com/glensaru
- 一夫多獸
- https://www.pixiv.net/en/users/7576657
- 文碧
- https://x.com/Fumimimimidory
- ZOROJ
- https://bsky.app/profile/zoroj.bsky.social/
- DOPQ
- https://x.com/yy62401
- Posporo
- https://x.com/P0SPORO
- 18plusplus
- https://x.com/18plus_plus
- DaemonTor
- https://x.com/perverteddaemon
- KNN
- https://x.com/Kunn00_
- 種
- https://x.com/Energy_camdy
- Mixter
- https://x.com/mixterArt
- Racoon21
- https://x.com/raccoon_21c
- DUNE
- https://x.com/GT_DunE
- ルイズ
- https://x.com/Takaxvfruizu1
- 爱画画的Breeze
- https://x.com/BreezeM18
- Asutaro
- Mazjojo
- https://x.com/mazjojomania
- Tepen
- https://x.com/tptptpn
- こるく
- https://x.com/kemo_0519
- わお
- https://x.com/wao_kinoto
- ヒャク
- https://x.com/hyaku1063
- Futei (ふてー)
- https://x.com/MTI777
- Kijimaru
- https://x.com/kijimarie
- Natsume Yakumushi
- Dangpa
- https://x.com/dangpaart
- Ghostfood
- https://bsky.app/profile/ghostfood.bsky.social
- ChesschireBacon
- https://bsky.app/profile/chesschirebacon.bsky.social
- seamonsterping (海怪平)
- https://x.com/seamonsterping?lang=en
- yuuuki_dogs
- https://x.com/yuuuki_dogs
- Robokeh
- https://x.com/Robodraws
- Buranko
- Kaitodraws
- https://x.com/kaitodraws1
- Wolf Con F
- https://x.com/f_con
- Uleez
- https://x.com/Uleezoo
- 土狼弐
- https://x.com/d_raw_two/
- Nama Kobura
- Neumo (にゅうも)
- https://twitter.com/neumokun
- foooooxes
- https://x.com/foooooxes
- risuou
- https://x.com/risuou
- 狗芒五
- https://x.com/ekqopi7bfldyyqa
- Magangz
- https://x.com/makidogang
- 木狼
- https://x.com/mokurou8810
- 大地巧太
- https://x.com/nikubo
- Ross
- https://x.com/ross_ciaco
- 肉鍋
- https://x.com/nikunabe1989
- ぬぬたろう
- https://x.com/nunutaro3
- Riotaro
- https://x.com/Riotaro15
- ねこ丼
- https://x.com/nekodon_san
- Nekogaki
- https://x.com/nekogaki0324
- UZA
- https://x.com/art_uza
- zifu
- https://x.com/zifuuuun
- 吉川達哉
- https://x.com/0t0_yoshikawa
- 村山竜大
- https://x.com/ovopack
- 狼小魂
- https://x.com/Yama_wolfsoul
- https://www.plurk.com/Yamacat
- 昆布茶
- https://x.com/kbc_omaso
- 吃肉的草狼
- https://x.com/weedwolfeatmeat
- SUV
- https://x.com/suv032
- 狐塚遁
- https://x.com/cotton_nottoc
- maio
- 梅拉德Mallards
- https://x.com/Mallards1305
- ヒャク
- https://x.com/hyaku1063
- GabyT
- https://www.youtube.com/channel/UCJr7ptN1tz60UMhzElyfaQg
- Taran Fildder
- https://x.com/tfiddlerart
- ANhes
- https://x.com/anhesart
- Stranj
- https://x.com/CivetStranj
- Chunie
- https://x.com/chunieart
- Nesskain
- https://x.com/nesskain
- Nikiciy
- https://x.com/konnikichan
- 月潟ロッシ
- https://x.com/RossiThukigata
- rou
- https://x.com/radcanine
- TulRang_C
- https://x.com/tulrang
- Underwater Sponge
- https://x.com/UWSponge
- 熊谷しん
- https://x.com/kumagayasin
- O-RO
- https://x.com/DogoroNumber3
- Zelolee (黄金の大猫)
- https://x.com/goldenbigcat/
- https://www.pixiv.net/users/196845
- Dsharp
- https://x.com/Dsharp_K
- 欺久
- Luode jun (大罗德)
- https://x.com/luodejun
- bnav5
- https://bsky.app/profile/bnav5.bsky.social
- Chinatsu Kurahana
- ニジタロウ/星端 朗
- https://x.com/nizitaro1
- neumokun
- https://x.com/Neumokun
- kouta_nagamori (永守浩太)
- https://x.com/kouta_nagamori/
- Adios
- https://x.com/Adiosarts
- kamado023 (かまど)
- https://x.com/kamado023
- HOWDY
- https://x.com/HOWDY_FUR
- Yūji Iwasaki (岩崎優次)
- Cipher Academy, JJK:Modulo
- kimidori (きみどり)
- https://twitter.com/dera_kimidori
- にゃんこね(ro)
- https://x.com/nyankone2
- kame3
- もふあき
- https://x.com/mofuaki_
- ZUN (博麗神主)
- https://x.com/korindo
- Hirohiko Araki (荒木飛呂彦)
- https://x.com/araki_jojo
- “JoJo’s Bizarre Adventure”’s artist
- Masashi Kishimoto (岸本斉史)
- https://x.com/kishimotomasshi
- Naruto’s artist
- Haiki
- https://x.com/haiki396g
- Bellsalt
- https://x.com/bellsaltr
- The respondent wrote “Beltsalt”, that took me days to find the correct name
- Kaeru
- https://bsky.app/profile/frog1432.bsky.social
- cfsy10
- https://x.com/cfsy10
- Jocob Mott
- https://www.instagram.com/jacob_mott_bwb/
- Caro
- https://x.com/Caro_zalt
- Luwei
- https://x.com/chang52084
- izm
- https://x.com/izm_rm7
- 鱼
- https://x.com/fishingmanMAX
- Kul
- https://x.com/KulPlant
- FSL6
- https://x.com/FanSL_Art
- KD钙
- https://x.com/kd_gai
- LukeOx
- https://x.com/luke_c419
- 舵丸
- https://x.com/kajimaru_0507
- 泥水
- https://x.com/doromiez
- 怒涛
- https://x.com/sousuke000
- Sky
- https://x.com/sky_gomi
- 黑轩
- I am guessing maybe it is Kurotero (クロテロ)
- https://x.com/kurotero
- https://space.bilibili.com/567272/dynamic
- 行丸
- https://saru59.sakura.ne.jp/
- Itohiro (いとひろ)
- https://x.com/itohiro0305
- KAJIKA (鮖)
- https://x.com/_ka_ji_ka
- Manabiko (まなびこ)
- https://x.com/manabiko_
- (Technically they already did Cetus in this game)
- Ninahachi (ニナハチ)
- https://x.com/nijuunanayo
- 閃耀菌
- https://x.com/shan_yao_jun
- Yudai
- https://x.com/Grandeur023
- Go Fujimoto (藤本郷)
- https://x.com/go_fujimoto
- Gai Mizuki (水樹凱)
- https://x.com/mizukigai
- Sakuramaru
- https://x.com/sakuramaru123
- Hiko
- https://x.com/hicochi788
- Jin
- https://x.com/jin_jinx
- Kumao
- https://x.com/kumao_cafe_
- Kuromine Hiraya
- https://x.com/kuromine_hiraya
- Yunosuke
- https://x.com/UN0SK
- Edamame
- https://x.com/edamamego_02ma3
- DoPq
- https://x.com/yy62401
- Topi
- https://x.com/topi5356
- Daisukebear
- https://bsky.app/profile/daisukebear.bsky.social
- Hisbam
- https://x.com/hisbam_hisbam
- Tevit
- https://x.com/Tevit15
- Osuman
- https://x.com/osumankokuou
- Magmataishi (まぐまたいし)
- https://x.com/magma00
- Ammamiya (あまみや)
- https://x.com/ammami8
- Doosoo
- https://x.com/rntentn
- Konohanaya
- https://x.com/Konohanaya/
- adj (阿形)
- https://x.com/0110ADJ
- みきてゃ
- https://x.com/mine_miki0840
- Shikaku Yamamoto
- https://x.com/s_k_k
- Me~
- https://x.com/mee04__
- Suzuka Morino
- https://x.com/karana_cat
- Emboss
- https://x.com/Emboss0320
- Tomotiso
- https://x.com/Tomotiso2k
- Nekotiger
- https://x.com/mosaKemono
- Iyoko
- https://x.com/iyoko_145
- LLJH
- https://x.com/LLJHLISHIFU
- LAGOON
- https://x.com/LAGOON_XVI
- ThemeFinland
- https://x.com/ThemeFinland
- Mandaro
- https://x.com/augoose_cong
- Posuka Demizu
- https://x.com/DemizuPosuka
- Paru Itagaki
- https://x.com/itaparu99
- Yifeng
- https://x.com/Yifeng_LZ
- KOBITOWANI
- https://x.com/K0BIT0WANI
- Kunoma
- Kawara Gawara
- Shamoji (杓文字)
- https://x.com/samoji
- Tamura_Kazumasa
- https://x.com/Tamura_Kazumasa
- Tos Tos F Ski (とすとすFスキー)
- https://x.com/Tos_Tos_F_ski/
- Niku 18 (肉良獣八)
- https://x.com/niku_18
- Chirenbo
- https://vxtwitter.com/Chirenbo
- FruitzJam
- https://x.com/FruitzJam/
- Respondent wrote this as “Fruitzyjam”, costing me some time to find the right name
- Ponzu
- https://x.com/ponzu_tas/
- Retsito/Morskart
- https://x.com/morskart
- Bakedanuki
- https://bskyx.app/profile/bakedanuki.bsky.social
- bozi
- https://x.com/bozi_exe
- Joseph A.J
- Miazuma Shouki
- https://x.com/miazuma_shouki
- Numaro
- Tigerlion Moikana
- https://x.com/tigerlion_art
- Mexican bara artist
- Fearfac666
- https://x.com/fearfac666
- Rikiya Koyama
- I am not sure, is this the voice actor 小山力也?
- 赤田
- Respondent did not provide any social network user name, maybe it is https://x.com/akatadobuchiki
- YaoYaoReer (述麓)
- https://weibo.com/u/2128358004
- https://x.com/YaoYaoRe
- jung_ryeong
- https://x.com/jung__ryeong
- HIFUMI_2nd
- https://x.com/HIFUMI_2nd
- waaaaaa_i
- https://x.com/waaaaaa_i
- Pulin Nabe/kakenari_
- https://x.com/kakenari_
- Arima_bn_Skeb
- https://x.com/Arima_bn_Skeb
- 綠草茶GREENTEA
- https://x.com/GREENTEA781016
- えだまめ號
- https://x.com/edamamego_02ma3
- Gamma-G
- https://x.com/gamma_DH
- God bless the brave soul that ask for this, they do not know…
- Tokuni
- https://x.com/toktoktokuni
- 阿莫AMO
- https://x.com/AMO9612
- YAN
- https://x.com/bltyann
- 00047
- https://x.com/479992103
- Ryota-H
- https://x.com/Ryota_H
- WINEMVEE
- https://x.com/winemvee
- piikeisandaa
- https://bsky.app/profile/piikeisandaa.bsky.social
- 村上タロス
- https://x.com/murakami_ta
- https://www.pixiv.net/en/users/66210
- dokeshin
- https://x.com/dokeshin
- Tsuroe
- https://x.com/chuurow/
- jrjresq
- https://bsky.app/profile/jrjr.esq
List of illustrators that were in the wishlist but already has work in this game (in no particular order)
- Syukou Akanaru
- BomBom
- Sawch_cls
- BKMITA
- Yow
- YED
- Naop
- Vorusu
- gozu_farm
- Nullq
- wasp
- カヂロ
New Voice Actor Wishlist
Less respondents actually provide a wishlist for voice actors than for illustrators. Most admit that they do not know much about voice actor industry and just trust LifeWonders to make the call.
Despite that, we still receive a lot of names. Processing this question turned out to be quite challenging, because some people wrote voice actors’ names as English (Hiragana), sometime even with accent symbols. Other people wrote in Kanji names. Furthermore, there were also several typos or alternative names. This made deduplication difficult.
List of voice actor that got mentioned by multiple respondents
- Akio Otsuka (大塚明夫) 11 times
- Kenjiro Tsuda (津田健次郎) 11 times
- Junichi Suwabe (諏訪部順一) 9 times
- Satoshi Hino (日野聰) 6 times
- Kazuya Nakai (中井和哉) 6 times
- Akira Ishida (石田彰) 5 times
- Natsuki Hanae (花江夏樹) 4 times
- Takaya Kuroda (黑田崇矢) 4 times
- Yuichi Nakamura (中村悠一) 3 times
- Subaru Kimura (木村昴) 3 times
- Tomokazu Sugita (杉田智和) 3 times
- Fumihiko Tachiki (立木文彦) 3 times
- Hikaru Midorikawa (緑川光) 3 times
- Yūki Ono (小野友樹) 3 times
- Genda Tesshō (玄田哲章) 3 times
- Yū Kobayashi (小林优) 2 times
- Kazuhiko Inoue (井上和彦) 2 times
- Takuya Eguchi (江口拓也) 2 times
- Shunsuke Takeuchi (武内駿輔) 2 times
- Takahiro Sakurai (櫻井孝宏) 2 times
- Hiroki Tōchi (東地宏樹) 2 times
- Kenji Hamada (浜田賢二) 2 times
- Kosuke Toriumi (鳥海浩輔) 2 times
- Masahiro Ogata (尾形真宏) 2 times
- George Nakata (中田譲治) 2 times
Other voice actor with less mentions (in no particular order)
- Yūsuke Kobayashi (小林裕介)
- Jun’ichi Kanemaru (金丸淳一)
- Matsuda Kenichiro (松田健一郎)
- Masakazu Morita (森田成一)
- Kazuhiro Yamaji (山路和弘)
- Shuhei Sakaguchi (阪口周平)
- Yūsuke Kobayashi (小林裕介)
- Jun’ichi Kanemaru (金丸淳一)
- Matsuda Kenichiro (松田健一郎)
- Tsuguo Mogami (最上嗣生)
- Yuma Uchida (内田雄馬)
- Hikaru Hanada (花田光)
- Kazuya Nakai (中井和哉)
- Takahiro Mizushima (水岛大宙)
- Rica Matsumoto (松本梨香)
- Fairouz Ai (ファイルーズあい)
- Romi Park (朴璐美)
- Aoi Yūki (悠木碧)
- Ikue Ōtani (大谷育江)
- Yurina Amami (雨宮結梨菜)
- Ikezawa Haruna (池澤 春菜)
- Aoki Sayaka (あおき さやか)
- Amamiya Sora (雨宮 天)
- Asanuma Shintarou (浅沼 晋太郎)
- Azakami Youhei (阿座上 陽平)
- Ban Taito (坂 泰斗)
- Canna Nobutoshi (神奈 延年)
- Cho Kasumi (長 克巳)
- Eguchi Takuya (江口 拓也)
- Furukawa Makoto (古川 慎)
- Ginga Banjō (銀河 万丈)
- Hanawa Eiji (花輪 英司)
- Hayami Saori (早見 沙織)
- Hirohashi Ryo (広橋 涼)
- Hirose Daisuke (廣瀬 大介)
- Hoshino Takanori (星野 貴紀)
- Hosoya Yoshimasa (細谷 佳正)
- Junya Inaba (稲葉純弥)
- Ishikawa Yui (石川 由依)
- Kakihara Tetsuya (柿原 徹也)
- Kamiya Hiroshi (神谷 浩史)
- Kawata Taeko (川田 妙子)
- Kawasumi Ayako (川澄 綾子)
- Kawashima Tokuyoshi (川島 得愛)
- Kikuchi Kokoro (菊池 こころ)
- Kimura Ryohei (木村 良平)
- Kumamoto Kenta (隈本 健太)
- Kusunoki Taiten (楠 大典)
- Maeno Tomoaki (前野 智昭)
- Masuda Yuki (増田 ゆうき)
- Masuyama Takeaki (益山 武明)
- Midorikawa Hikaru (緑川 光)
- Miki Shin-ichiro (三木 眞一郎)
- Miyano Mamoru (宮野 真守)
- Mizunaka Masaaki (水中 雅章)
- Mizuki Nana (水樹 奈々)
- Morikawa Toshiyuki (森川 智之)
- Murase Ayumu (村瀬 歩)
- Nagasako Takashi (長嶝 高士)
- Nakahara Anko (長原 杏子)
- Nakamura Kotaro (中村 浩太郎)
- Nakao Ryūsei (中尾 隆聖)
- Nazuka Kaori (名塚 佳織)
- Nishikawa Takanori (西川 貴教)
- Noto Mamiko (能登 麻美子)
- Ochiai Rumi (落合 るみ)
- Okitsu Kazuyuki (興津 和幸)
- Ōmoto Makiko (大本 眞基子)
- Ono Daisuke (小野 大輔)
- Ōtsuka Hōchū (大塚 芳忠)
- Ōtsuka Takeo (大塚 剛央)
- Otoshiro Kiyori (音代 継)
- Saitō Ayaka (齋藤 彩夏)
- Satō Takuya (佐藤 拓也)
- Sawashiro Miyuki (沢城 みゆき)
- Seki Tomokazu (関 智一)
- Shingaki Tarusuke (新垣 樽助)
- Shiraishi Ryoko (白石 涼子)
- Shimono Hiro (下野 紘)
- Sugiyama Noriaki (杉山 紀彰)
- Sugō Takayuki (菅生 隆之)
- Takeuchi Shunsuke (武内 駿輔)
- Tanezaki Atsumi (種﨑 敦美)
- Teppōzuka Yōko (鉄砲塚 葉子)
- Toriumi Kosuke (鳥海 浩輔)
- Uchida Yuma (内田 雄馬)
- Uchiyama Kouki (内山 昂輝)
- Ueda Reina (上田 麗奈)
- Umehara Yuichiro (梅原 裕一郎)
- Wakamoto Norio (若本 規夫)
- Yamada Kōichi (山寺 宏一)
- Yamashita Daiki (山下 大輝)
- Yasui Kunihiko (安井 邦彦)
- Yusa Kōji (遊佐 浩二)
- Nakai Kazuya (中井 和哉) - The Japanese voice actor for Roronao Zoro.
- Volcano Ota (ボルケーノ太田)
- Josuke Shinomiya (篠宮穰祐)
- The previous Barguest’s voice actor in Housamo
- The previous Barguest’s voice actor in Housamo
- Hatsune Miku (初音ミク)
- Yep, the famous vocaloid

Due to time constraint, I did not make a list of voice actors that respondents wished for but are actually already performed for this game. But I have to say, quite a few people ask for the voice actor for Theoreol (子安武人).
Afterword
I hope you enjoy reading this report. For the reader, reading this report might only take 20 minutes (or less if you only look at the images), but the whole process of preparing the survey, compiling data, debugging my visualization scripts and writing the report is almost a full time work for two months. I also added too many open-ended questions, which only cost me even more time to analyze.
While waiting for the ever elusive release of official translation, this wiki will still be here to support overseas players.
See you in next year survey! (Or see you again in this year’s unofficial Tokyo Afterschool Summoners survey that should happen around two weeks before its anniversary.)